在线询价
产品展示
PRODUCT SERIES
首页 > 产品展示
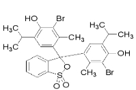
溴百里香酚蓝 价格: CAS号:76-59-5 产地:辽宁

在线询价
详细内容 规格参数 产品包装

产品名

溴百里香酚蓝

产品ID

B021

CAS No.

76-59-5

结构式

MF

C27H28Br2O5S

性状

藕荷色或红色结晶粉末,溶于乙醇、稀碱液和氨溶液,不溶于水。

分子量

624.39

用途

酸碱指示剂


  • 联系地址:(辽宁)沈阳市浑南新区全运路109-1号  
  • 18002429090
    024-31174117
  • 2193387905@qq.com
    周一~周五:8:30AM - 6:00PM
  • 阿里巴巴店铺
  • 微信二维码